지난달 서울 강동구 도로 한복판에서 '땅 꺼짐' 사고가 발생하고, 누구나 겪을 수 있는 일이라고 걱정하시는 분들 많으실 겁니다.
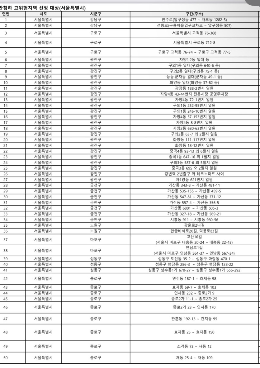
그런데 서울시가 지난해 각 자치구에 의뢰해 고위험지역 50곳을 정부에 보고한 사실이 MBC 취재 결과 확인됐습니다.
어딜까요? 서울시는 불안감만 조성할 수 있다며 고위험 지역을 공개하지 않고 있지만, 저희는 안전에 관한 정보는 미리 알고 대비해야 한다는 점과 관련법의 취지를 고려해 해당 지역을 공개하기로 했습니다.

아래 이미지는 확대가 가능합니다.
